Intro

This is my vision for the future of spaceflight.

Rise like a Balloon, Fly like an Airplane, Orbit like a Satellite
Local winner at NASA Space Apps Challenge 2016 Vienna

Have you ever dreamed about going to space, standing on another Planet and seeing earth among the stars?

I do, and I believe that becoming a multi planetary species will be the the most important step in evolution.

My solution can rise like a balloon from Hellas Planitia, fly like a plane over Olympus Mons, land at the Curiosity rover or leave to orbit.

It can remain airborne for unlimited time and distance and autonomously follow and pick up a user.

It exceeds NASAs targets for a mobility solution and provides affordable access to space for everyone willing to leave Earth.

No one left behind.

Stage 1: Lighter than Air - Rise like a Balloon

First stage is to use buoyancy provided by a lifting gas to reach an altitude of about 40km.

During this stage the hull of the airship will inflate to its final shape and retain a pressure of about 300 Pa.

Propulsion is only required for manoeuvering at this stage.

  • Inflatable Lighter-Than-Air construction
    • Low weight
  • Buoyant lift from Hydrogen
    • Available in-situ from soil water
    • Mars atmosphere provides about 1.5 times more buoyancy
  • Unlimited Range and Duration
  • Used from ground to about 300 Pascal ambient pressure


Credit: NASA/JPL-Caltech, SAM/GSFC

Gas Density
Earth (0°C, 101325 Pa) Mars (-63°C, 636 Pa)
Air 1.293 kg/`m^3` 10.54 g/`m^3`
`CO_2` 1.977 kg/`m^3` 16.02 g/`m^3`
`He` 0.1785 kg/`m^3` 1.457 g/`m^3`
`H_2` 0.08989 kg/`m^3` 0.7338 g/`m^3`

Stage 2: Aerodynamic Lift - Fly like an Airplane

Second stage is using the propulsion to increase horizontal velocity and the lifting body shape to generate aerodynamic lift to first support and later replace the lifting force previously provided by buoyancy.

Using a lighter-than-air construction minimizes wing loading and avoids the coffin corner limiting the service ceiling of heavier planes.

The Kármán line is the altitude where the speed necessary to aerodynamically support the airplane's full weight equals orbital velocity (assuming wing loading of a typical airplane). In practice, supporting full weight wouldn't be necessary to maintain altitude because the curvature of the Earth adds centrifugal lift as the airplane reaches orbital speed.
Wikipedia

  • Inflatable Lifting Body
    • Zero wing load and stall speed
  • Avoid coffin corner
  • Delay supersonic transition until the very top of the atmosphere
    • L/D-Ratio: Sailplane: 50, U2 25.6, Concorde: 7.5, Space Shuttle: 1
  • Avoid atmospheric drag
    • Like a surfboard compared to a heavy ship

`F_L = ( rho v^2 A C_L ) / 2`

`C_L = 2 pi alpha`
`alpha` = AoA in Radians = `pi` / 180

`F_D = ( rho v^2 A C_D ) / 2`

Lift and Drag decrease with Density (Pressure / Altitude)

Stage 3: Centripetal Force - Orbit like a Satellite

Third stage is to further increase ground speed while riding like a surfboard on the very top of the atmosphere.

Approaching orbital speed, aerodynamic lift will be slowly replaced by centripetal force.

`F = m v^2 / r`
Centripetal Force increases with Velocity

Orbital velocity 100 km above surface:

`v = sqrt( ( G M ) / r )`

`v_(earth) = sqrt((3.986 * 10^14) / (6__471__000)) = 7__848 ms^-1`

`v_(mars) = sqrt((4.283 * 10^13) / (3__489__500)) = 3__503 ms^-1`

Energy required:

`E_k = ( m v^2 ) / 2`

`E_(earth) = 7848^2 / 2 = 30__795__552 J`

`E_(mars) = 3503^2 / 2 = 6__135__504 J`

Solution #1: Solar Energy

Rockets must be large because they have to carry the volume of fuel required to store the entire amount of energy they require to reach orbit.

`LH_2 // LO_2`: ~13_320_000 J/kg

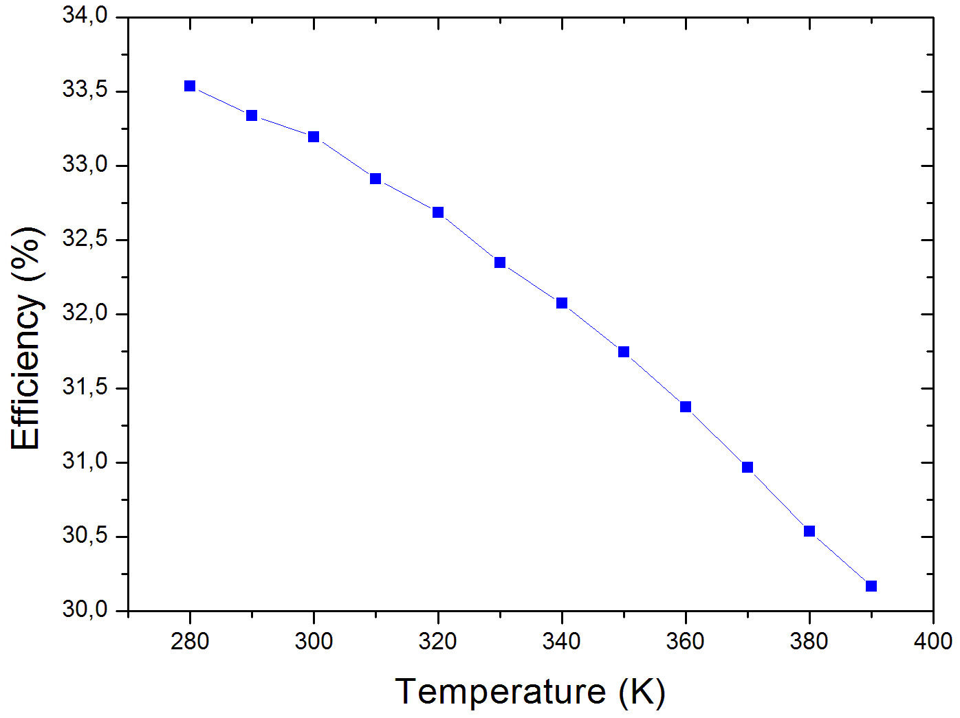
Photovoltaic provides about 400 W/kg at 25°C and 1000 W/`m^2`

Sun provides 1_361 W/`m^2` on Earth and 586 W/`m^2` on Mars

Increased efficiency at lower temperatures (Stratosphere, Mars)

Enough energy to orbit it's own weight in 16h on Earth and in 8h on Mars.


Credit: Egbert R. Messmer: Solar Cell Efficiency vs. Module Power Output

Solution #2: Electro-Aerodynamic Propulsion

Rockets must be heavy because they have to carry a large amount of mass to be exhausted as propellant.

`Delta v = v_e ln(m_f / m_e)`

Electro-Aerodynamic propulsion avoids that limitation by using molecules from the atmosphere as propellant.


Credit: Wikipedia/MenteMagica

is capable of a much higher efficiency than any combustion reaction device, such as a rocket or jet thrust-production device.
offers nearly miraculous potential.
Ned Allen, Chief Scientist, Lockheed Martin

It is 50 times more efficient than jet engines and even more compared to rocket engines.


Moshe Einat, Roy Kalderon: High efficiency Lifter based on the Biefeld-Brown effect

It has no moving parts, provides direct conversion from electric to kinetic energy and can be built from lightweight materials.

A thrust-to-power ratio as high as approximately 100 `N kW^(-1)` was obtained.
Kento Masuyama, Steven R. H. Barrett
On the performance of electrohydrodynamic propulsion

We estimate a maximum thrust per unit area of 3.3 `N m^(−2)` and a maximum thrust per unit volume of 15 `N m^(−3)`,
Christopher K. Gilmore, Steven R. H. Barrett
Electrohydrodynamic thrust density using positive corona-induced ionic winds for in-atmosphere propulsion

A thrust-to-power ratio as high as 68.43 mN/W was obtained for a d = 21 cm thruster. Kento Masuyama
Performance characterization of electrohydrodynamic propulsion devices

Significant improvements to thrust per weight, power and voltage have been achieved as well as the ability to use this propulsion in a self contained fashion suitable for aviation.

Other Applications

  • Cheap and Sustainable Access to Space
    • Return from Mars Surface
  • Station Keeping for Spacecraft
    • Unlimited Lifetime for Satellites
  • High Altitude UAV / Pseudo Satellites
    • Earth Observation
    • Astronomy
    • Communication (Over-The-Horizon)
  • Emissionless Airships
    • Cargo
    • Cheap, Sustainable and Comfortable Travel
    • Near-Space Tourism

Future Plans

This project will continue.

I'd like to die on Mars, just not on impact.

I don't ever give up. I'd have to be dead or completely incapacitated.

Elon Musk

Help needed with

  • Launch Site / Permission
  • Inflatable Lifting Body
  • Optimizing Propulsion for Low Pressure


Credit: Wikipedia / Eric Machmer

Contact: thomasz(at)hostmaster.org